A loop is a set with a binary operation that is similar to that of a group, but does not require associativity. A Moufang loop is one for which so-called monotopies act transitively, where a monotopy is a bijection such that there exist bijections such that
This conceptual definition was given by Conway & Smith 2003, who prove that it is equivalent to a more commonly used definition in terms of two equational laws called the Moufang identities.
A loop is a set with a binary operation (a magma) with two-sided unit such that left and right multiplication, and respectively, are bijections (i.e. it is a unital quasigroup). A Moufang loop is a loop such that the Moufang identities hold:
These identities imply others, including
and the so-called alternative laws
and the flexible law
As emphasized by Conway & Smith 2003, in a Moufang loop every element has a left and right inverse and these agree. Furthermore we have these identities
which say how to left or right multiply a product by an element . (The products and are unambiguous thanks to the alternative law.)
One may consider the weaker analogous structure without unit , the Moufang quasigroup, but the Moufang identities, by a result of Kunen 1996 imply that the quasigroup is a loop.
Every element in a Moufang loop has a multiplicative inverse; a priori there are only left and right inverses, but these coincide by the Moufang identities.
Since right and left multiplication give isomorphisms of the underlying set, one can ‘divide’ by any element of the Moufang loop, on the right or on the left (recall we are not assuming commutativity). Thus one can define a Moufang loop as a set together with a multiplication as above, together with right and left division operations , again satisfying the Moufang identities. Thus Moufang loops are algebras for a Lawvere theory, and thus can be defined internal to any category with finite products.
Moufang loops are power-associative, in that any bracketing of a string consisting of copies of the same element multiply to a unique element. In fact, more is true, in that any two elements generate a genuine group; that is, Moufang loops are alternative.
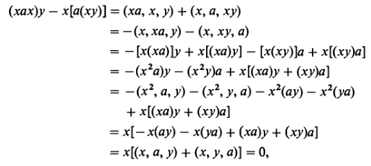
Indeed, the alternative laws and and flexible law are easily derived from the Moufang identities by setting some variables equal to 1. Conversely, the invertible elements in any alternative ring or alternative algebra form a Moufang loop. Here Schafer (Schafer 1966, pp. 28-29) shows how to derive one of the Moufang identities from the alternative laws, which are equivalent to the associator being antisymmetric under permutations of its three arguments:

and from this he derives the other Moufang identities.
A group is a Moufang loop.
The non-zero octonions form a Moufang loop, as does the multiplicatively closed subset of octonions of norm 1 (which form the 7-sphere).
The basis octonions, and their additive inverses form a finite Moufang loop of order 16 (compare with the case of the quaternions, where the basis elements and their inverses form a group of order 8, the quaternion group ).
There is a finite Moufang loop of order which John Conway used to construct the Monster group. This Moufang loop is a central extension by of the binary Golay code, an abelian group of order , see (Hsu). This is a special case of a code loop, which is a specific sort of Moufang loop.
The original article:
Early further discussion:
E. N. Kuz’min: The connection between Mal’cev algebras and analytic Moufang loops, Algebra Logika 10 1 (1971) 3-22 [mathnet:al/1279]
(relation to Malcev Lie algebras)
Kenneth Kunen: Moufang quasigroups, J. Algebra 183 1 (1996) 231-234 [doi:10.1006/jabr.1996.0216]
Monographs:
John Conway, Derek Smith, Moufang Loops, chapter 7 in: On Quaternions and Octonions: Their Geometry, Arithmetic and Symmetry, A K Peters/CRC Press (2003) [ISBN:9781568811345, doi:10.1201/9781439864180]
Richard D. Schafer, An Introduction to Nonassociative Algebras, New York, Dover Publications, 1966.
See also:
Wikipedia: Moufang loop
Further discussion:
Last revised on October 18, 2025 at 16:23:54. See the history of this page for a list of all contributions to it.